夫运筹帷幄之中,决胜于千里之外,吾不如子房(张良)。镇国家,抚百姓,给馈饷,不绝粮道,吾不如萧何。连百万之军,战必胜,攻必取,吾不如韩信。此三子者,皆人杰也,吾能用之,此吾所以取天下也。 - 《史记·高祖本纪》
作为汉初三杰之一,张良被后世推崇为“谋圣”,年少时曾有刺杀秦始皇的壮举,并得到过《太公兵法》的加持,屡建奇谋。不仅协助刘邦攻城掠地,亦在鸿门宴上帮刘邦解除危机。最后在楚汉相争的关键时刻,明修栈道,暗度陈仓,还定三秦,倾覆项羽。
而现在手机上的音频功放被称为Smart PA,与擅长谋略的张良有相似之处。它以天下大势作为输入信号,再以算法(谋略),动态地为扬声器(刘邦)提供适宜的功率输出。比如何时该隐忍(鸿门宴上的低调),何时该决战(十面埋伏围困项氏于垓下)。
背景
常规PA只管给扬声器输出驱动信号,管生不管养,无法感知扬声器线圈和振膜的状态,所以也不会管扬声器的死活。故早期的功能机经常出现声音劈叉、破音、振膜破损或线圈过热烧毁等情形。为了保护扬声器,工程师只能根据扬声器的额定输出功率,限制PA的输出电压或者功率。但这种做法保守,无法均衡各个频段,相当于限制了PA的输出能力。此外,这种方案并未对扬声器产生根本性的保护作用,只是降低了概率而已。
在研发阶段,常规PA的调试也让人够喝一壶的,又想要效果(低音效果、信噪比等),又担心喇叭出问题,如此反复,让人头秃,此中冷暖只有自己知道。
手机等移动设备的设备受限于空间,其扬声器的体积小而薄,传统的功放技术很难输出好的音质。为了最大限度的提升这种小功率扬声器的外放效果,业界推出了Smart PA的概念,旨在保证扬声器安全工作的前提下,达到最大的响度和最佳的音质。
Smart PA之所以叫Smart PA,它和常规功放相比,最大的区别是加了V/I反馈。

极限工作&振幅保护原理
Smart PA的核心目标是基于有限的电池电压和薄小的扬声器,实现 大的音量、好的音质、高的效率。
扬声器振膜的振动可以看做是洛沦兹力,弹簧弹力以及空气阻抗共同作用的结果。为了得到好的效果,得让振膜最大程度的振动,但又不至于损坏才行。
这个极限工作过程的关键在于三个环节:
- 实时检阻:Smart PA持续测量扬声器两端的电压和流过音圈的电流,通过这两个参数,可以计算出扬声器的实时阻抗,这是后续所有计算的基础。
- 建模与预测:扬声器在手机内部有数学模型,该模型描述了输入电压/电流与振膜物理位移之间的数学关系。工作时,系统就将实时监测到的U和I数据代入这个模型,即可推算出当前振膜的实际位移,无需物理传感器。
- 保护:系统预设了一个安全位移阈值,一旦预测到振膜位移即将超过该阈值,保护算法会立即动态降低Smart PA的增益,将振膜位移拉回安全区,音量被平滑限制,而不是破音或损坏。
通过这套行为模式,能够保证扬声器在安全范围的前提下,长时间内工作在最大冲程以及最大的平均功率下,从而在较小扬声器尺寸的情况下,实现最佳的音质以及响度。
扬声器温度保护原理
喇叭之所所会损坏,主要有两个原因:喇叭膜片振动幅度过大,导致撕裂而损坏,喇叭温度过高,导致喇叭损坏。
前面说过的极限工作,已包含了扬声器振膜保护,而现在的温度保护区别于振幅建模,而是基于铜线的阻抗温度系数原理。
扬声器线圈的本质是金属铜线,当线圈发热时,其阻抗会发生变化,通过直流V/I检测检测其阻抗值,结合喇叭线圈的温升系数,就可以得到喇叭实时温度,从而实现喇叭温度保护。
首先,我们先看一个朴素的曲线,可得知喇叭线圈等效的阻抗和温度呈线性相关的关系,如下图:

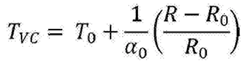
然后我们可以根据当前阻抗,反推出线圈当前温度,公式如下图:

其中:
- Tvc是线圈的当前温度;
- T0是参考温度(产线校准时的温度,通常为25摄氏度);
- R0是参考温度T0处的音圈电阻;
- α0是音圈材料的温度系数;
- R是温度在Tvc处的音圈电阻。
综上,由于扬声器温度与音圈电阻成正比,我们便可通过初始温度校准和实时V/I信号反馈进行温度监测,于DSP中生成的不可闻的低频信号用于温度检测(比如40Hz的音频信号,在不影响听觉体验的前提下,测量扬声器音圈电阻)。
其他feature
除了基于V/I信号反馈所形成的“smart” feature,一个完整的Smart PA还应包括:
- 音频总线:I2S或TDM总线,用于接收来自codec的数字音频信号。
- I2C总线:用于接收来自AP的控制信号。
- 数字信号处理器:通常内置DSP,实现音效效果;搭配ADC实现上述基于V/I检测的“检阻”;智能控制算法。
- Boost模块:升压电路和智能供电管理。
- 功率放大电路:D类功放。
- 全面的保护:短路保护、过温保护、欠压保护和过压保护。
- 超声支持:采样频率为96KHz,能够cover一些超声波,兼顾一些超声波应用(比如手势识别,超声接近检测)。
