上一篇文章讲述了平台LDO因为输出电容过大,容易因浪涌电流形成OCP,导致开机异常,所以要对最大容值进行限制。但也有说,在design notice中,电容容值是个范围,即也有最小电容的概念。
![]()
那为什么要有最小容值,甚至更过分的问,不加电容、裸奔行不行?
近年来,LDO的一个重要发展方向就是通过内部补偿的方法来减少外部器件的影响。以高通平台的LDO为例,如下图,在LDO内部集成了补偿,遂产生一个零点(零点的作用与极点相反,它能提升速度,补偿相位滞后),从而使输出极点不再是稳定性的关键,于是对输出电容便没有特殊要求(甚至ESR越低越好)。

但这类LDO并非完全不需要电容,这个电容与LDO的负载瞬态响应性能息息相关,下面试着为诸君讲述明白。
无COUT
如下图,我们先假设LDO没接输出电容。

初始时刻,LDO的负载电流稳定在IOUT1,输出电压VOUT1也调得稳稳的,此时MOS漏源电压和栅源电压分别为VDS1和VGS1,一切岁月静好。
但当负载电流突然从IOUT1跳到IOUT2时,从电路上看就是:因为负反馈环路有延迟,所以栅源电压VGS1是暂时不变的,变大的负载电流IOUT2会在MOS产生更大的压降,于是MOS的漏源电压从VDS1增大到了VDS2。
当LDO的负反馈环路垂死病中惊坐起,终于开始跟上节奏时,MOS的栅源电压会从VGS1增加到VGS2,通过负反馈将VDS2带到VDS3(比 VDS1 略低一点),输出电压终于近似回到了初始电压。

可见由于负反馈环路的延迟,LDO的输出电压会扑通一下往下掉,像股票跌了一样扎心。
那具体会掉多少呢?
由于负反馈环路无法瞬间跟上,也就没法帮LDO降低输出阻抗,那就看LDO自身的输出阻抗是多少了,LDO的输出阻抗ZOUT可以表示为:
![]()
//表示并联关系,rDS代表MOS的输出电阻、RF(R1+R2)代表反馈电阻,ZL代表负载阻抗。
假设负载电流增量为ΔIOUT,导致的输出电压变化为ΔVOUT,则有:
![]()
分析一通,罪魁祸首是负反馈环路有延迟,那为什么会有延迟呢?
首先运放内部存在相位补偿环节,其次MOS的栅源之间亦存在寄生电容,此外,误差放大器的输出电压变化也需要一些时间(误差放大器的压摆率的概念)。
综上,在没有输出电容的情况下,LDO的输出阻抗ZOUT通常很大。即使负载电流只有轻微变化,LDO的输出电压也可能产生相当大的波动,甚至可能触地或顶天(达到GND或电源电压)。
而接上一个输出电容,则对于改善负载瞬态响应非常有效。
有COUT
如上所述,如果LDO没有COUT,则负载瞬态响应会惨不忍睹,输出电压波动巨大。
当有了COUT后,假设负载电流突然增加,在负反馈环路延迟的那段时间,增加的负载电流可以先由输出电容“垫付”,就像你钱包空了,朋友借你点钱应急。

如何从数理的角度去论证呢?
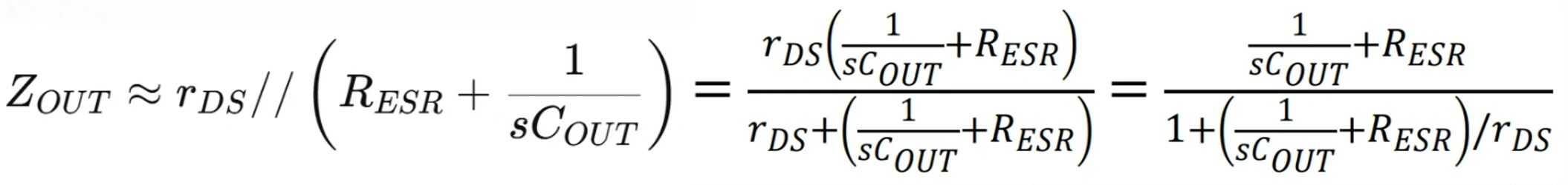
当LDO连接了COUT时,其输出端总阻抗ZOUT可表示为:
ZOUT = rDS//RF//ZL//ZCOUT
其中,ZCOUT是输出电容的阻抗,包含了电抗和等效串联电阻ESR,此外,负载阻抗ZL和反馈电阻RF值比较大,此时可以忽略不计,那么总阻抗就近似表示为:

其中S为拉普拉斯变换的算子。
由于我们讨论的是负载突变的场景,此时MOS管的输出电阻rDS也可以忽略,因为它比COUT的阻抗高,并联后不是大头,评估过程如下:
- 如果负载瞬态变化发生在1µS时间内,其频率成分至少有250kHz。如果COUT的值是1µF,则它在250kHz频率下的阻抗算下来约为0.64 Ω。然后再考虑下MLCC的ESR,通常小于10mΩ,是个弟弟,故也可以忽略不计,COUT阻抗就是零点几欧姆的量级。
- 然后再评估MOS的输出阻抗,假设LDO的VIN电压为2V,VOUT为1V,输出电流为200mA,那么MOS管的输出电阻rDS算下来是5 Ω,可见远高于输出电容的阻抗。
综上,LDO的输出阻抗主要由输出电容的电抗ZCOUT决定:

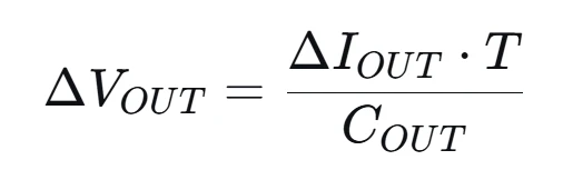
又因为,LDO因负载突变产生的输出电压变化量等于负载电流变化量乘以LDO的输出阻抗:
![]()
又因为,CV = IT,我们可以得出V/I = T/C。其中C是电容值COUT,V是电容两端电压,I是流过电容的电流,T是电流流动的时间。
综上,LDO的输出电压变化量可以近似表示为:

T是电流流动的时间,那么具体怎么评估呢?
T其实就是负反馈环路的反应时间,即LDO开始跟踪输出电压变化所需的时间,由误差放大器的驱动能力、其输出端的电容(相位补偿电容和MOS管的栅源电容)以及MOS的跨导决定。
总之,根据公式,在LDO输出端增加个输出电容,就能够降低输出阻抗,就能减少LDO因负载突变产生的输出电压波动,且容值越大,效果越明显。
总结
除了作为能量水池改善瞬态响应,输出电容亦有降低噪声的作用,可以滤除来自LDO自身或输入电源的高频噪声。
但负载瞬态响应带来的问题更迫切、更棘手,因为输出电压会出现很大的毛刺(过冲和下冲),容易导致被供电的芯片复位或工作异常。
最明智的做法就是遵循数据手册,自己不瞎搞,数据手册通常会有容值范围,再不济也有个典型值推荐,这些都是供应商充分验证过的。