如果某引脚具有高阻抗,那么便为噪声注入提供了可能性。如果此时该高阻抗引脚的走线靠近快速变化电压的走线,例如数字或时钟信号,那么就会有噪声通过寄生电容耦合到高阻抗走线中,这种耦合称为容性耦合。

如下图所示,两条走线之间的电容值主要取决于走线之间的距离(d)和两条走线平行的距离(L),进入高阻抗走线的电流量等于:

其中:
I等于出现在高阻抗走线上的电流;
C等于两个PCB走线之间的电容值;
αV等于开关走线的电压变化量;
αt等于电压变化从一个能级到下一个能级所花费的时间。
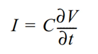
如果某引脚具有高阻抗,那么便为噪声注入提供了可能性。如果此时该高阻抗引脚的走线靠近快速变化电压的走线,例如数字或时钟信号,那么就会有噪声通过寄生电容耦合到高阻抗走线中,这种耦合称为容性耦合。

如下图所示,两条走线之间的电容值主要取决于走线之间的距离(d)和两条走线平行的距离(L),进入高阻抗走线的电流量等于:

其中:
I等于出现在高阻抗走线上的电流;
C等于两个PCB走线之间的电容值;
αV等于开关走线的电压变化量;
αt等于电压变化从一个能级到下一个能级所花费的时间。
备注:
1、如果转载,请注明转载自:夜枭手机网(www.yexiaoshouji.com)
2、网站有部分图片素材来自互联网,不可考源头,或联系不上作者,仅为了讲述原理,不涉及商业用途,如果侵犯您的权利,请联系我删除
3、如果有技术方面的疑问,可用微信/公众号私信联系我